

咨詢熱線:18151922896
聯系電話:025-84312185
傳真:025-84312185
網址:
郵箱:juhangvsr@163.com
地址:南京市光華路156號
某生產發動機缸體的廠家,近期發現一批缸體有變形、開裂現象。經研究發現,這些變形、裂紋都與殘余應力有關。在缸體鑄件冷卻過程中產生了殘余應力,當缸體承受外力時,殘余應力與其相互作用,從而改變缸體實際受到的應力大小。當局部應力疊加超過材料強度極限時,就會引起缸體變形甚至開裂。因此,有必要對發動機缸體內部進行殘余應力測試和分析。
殘余應力測試方法
殘余應力測試方法主要分有損和無損兩大類,有損檢測有盲孔法、切割法等,無損檢測有x射線、磁測法等。本次實驗中,測試件結構復雜、體積大、重量大、表面存在氧化層和鑄造殘沙,所以X射線法不適用。盲孔法主要是用于物體表面殘余應力測試,所以也不適用。而切割法可以完全測量內部殘余應力,并且對構件尺寸沒有要求,因此切割法更適合發動機缸體的殘余應力測試。
測試儀器
試驗儀器采用聚航科技的JHYC靜態應變測量系統,多通道設計,軟件式操作,中文界面,應變值實時顯示,數據及曲線實時保存,儀器精度高,測量結果精確。
試驗依據:《GBT 31218-2014金屬材料 殘余應力測定 全釋放應變法》
殘余應力測試方案
(1)測點位置選取
應變測試點的選取原則應遵循以下幾點:1.理論計算的高應力區和實際發生開裂的部位;2缸體實施減重部位;3進一步優化設計關注的部位。根據以上原則,在缸體上共選取12個測點,均采用三軸應變花。
(2)應變片的粘貼及連接:將各個測點位置進行打磨清潔,粘貼應變片及接線端子。
(3)初始值記錄:完成貼片后,將應變片按照1/4橋接入JHYC靜態應變儀,查看數據,待數據穩定后記錄缸體應變初始值。
(4)測量及缸體切割:拆除測量線纜,依據切割方案將缸體進行切割,沿著各測點位置將應變片盡可能割成小塊,切割過程中注意應變片的保護。
(5)終值記錄:切割完成后,將切割下來的試塊上的應變片按照1/4橋接入應變儀,查看數據,待數據穩定后記錄缸體應變終值。
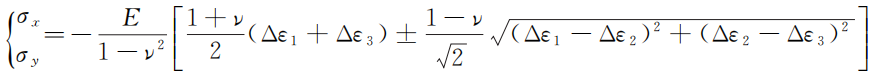
測試結果及計算
缸體使用材料是HT250,其彈性模量為120GPa,泊松比為0.3。首先將測量記錄的終值減去初值得到表1應變測量結果,根據測量標準里的三軸應變花的計算公式進行計算得到應力計算結果。計算公式如下:
測試結果如下:
表1:應變測量結果
測點號 | ε0(με) | ε45(με) | ε90(με) |
1 | 35.6 | -21.4 | 30.4 |
2 | -38.8 | 88.0 | -85.7 |
3 | -29.2 | -20.2 | 60.4 |
4 | 194.1 | 98.1 | -44.7 |
5 | -4.6 | -2.2 | -8.8 |
6 | 14.8 | 25.2 | 43.2 |
7 | 22.5 | -10.3 | 6.5 |
8 | 255.6 | 70.2 | -78.2 |
9 | 21.1 | 73.9 | 96.8 |
10 | 86.5 | 69.1 | 36.7 |
11 | -36.2 | 16.9 | 13.3 |
12 | -38.5 | -50.8 | 46.5 |
表2殘余應力計算結果
測點位置 | σmax(MPa) | σmin(MPa) | 角度θ(°) | σx(MPa) | σy(MPa) | σ-(MPa) |
1 | 10.5 | 0.0 | -43.6 | 7.29 | 7.58 | 10.49 |
2 | 4.6 | -24.6 | 40.6 | -21.68 | -12.45 | 27.18 |
3 | 8.0 | -3.0 | 19.3 | -5.49 | 6.56 | 9.86 |
4 | 23.6 | 0.3 | 5.5 | -2.01 | 23.55 | 23.50 |
5 | -0.6 | -1.5 | 32.5 | -0.98 | -1.33 | 1.35 |
6 | 6.0 | 3.2 | 7.5 | 2.41 | 6.42 | 5.24 |
7 | 4.8 | -0.2 | -36.1 | 2.69 | 4.01 | 4.92 |
8 | 30.3 | -1.9 | -3.2 | -0.26 | 30.37 | 31.32 |
9 | 13.3 | 5.5 | -10.8 | 7.93 | 12.06 | 11.61 |
10 | 12.4 | 7.4 | 8.4 | 5.48 | 13.30 | 10.77 |
11 | 1.8 | -5.4 | -24.4 | -4.22 | 3.87 | 6.52 |
12 | 7.3 | -6.0 | 26.1 | -8.62 | 3.90 | 11.55 |
數據分析
從表2可以看出,12個測點中8號測點的殘余應力最大,為30.3MPa,灰鐵250的抗拉極限是250MPa,殘余應力的大小要小于抗拉極限的1/3,因此,該缸體整體殘余應力水平較小,在實際使用中比較安全。
結論
1. 由實驗證明,切割法可用于發動機缸體內部殘余應力測試,儀器操作簡單,結果可靠,為缸體安全受力分析提供了依據。
2. 切割前后分別接線測試,可以減少在切割過程中發生斷線的風險,保障測量的可靠性。但該方法對儀器的測量穩定性有很高要求,JHYC靜態應變儀穩定度±2με/4h,能夠很可靠完成這種方法的測試。